일단 인터넷이 어떻게 동작하는 지 알려면 인터넷이 무엇인 지 알아야겠다.

인터넷이 무엇일까?
인터넷의 개념
인터넷(Internet)이란 여러 통신망을 하나로 연결한다는 의미의 ‘인터 네트워크(inter-network)’라는 말에서 시작되었으며, 이제는 전 세계 컴퓨터들을 하나로 연결하는 거대한 컴퓨터 통신망을 의미합니다.
이러한 인터넷은 클라이언트와 서버로 구성되며, TCP/IP라는 기본 프로토콜을 통해 제공되고 있습니다.
인터넷의 구성
여러 컴퓨터가 각각 클라이언트와 서버로써 서로 연결되어 구성된 망을 컴퓨터 네트워크(computer network)라고 합니다.
인터넷은 이러한 컴퓨터 네트워크가 전 세계적인 규모로 수없이 많이 모여서 이루어진 일종의 컴퓨터 네트워크 시스템입니다.
즉, 인터넷이란 수많은 클라이언트 컴퓨터와 서버 컴퓨터, 그리고 이들로 구성된 네트워크들의 집합체인 것입니다.
인터넷의 특징
1. 인터넷은 서로 동시에 참여할 수 있는 쌍방향 통신을 제공합니다.
2. 컴퓨터는 저장이 가능하므로 메시지를 보내는 사람과 받는 사람 모두 시간에 제약을 받지 않고 컴퓨터가 네트워크에 연결만 되어 있다면 언제든지 메시지를 주고 받을 수 있습니다.
3. 초기 인터넷에서는 텍스트로만 통신이 가능했지만 현재에는 이미지, 음성, 동영상 등 다양한 포맷으로 통신이 가능합니다.
4. 인터넷은 직업이나 사회적 지위, 직책, 인종, 나이 등을 서로 알 수 없는 익명성을 제공합니다.
인터넷의 역사
인터넷은 1960년대 미국 국방성에서 군사적인 목적으로 구축한 알파넷(ARPANET)으로부터 시작되었습니다.
이후 데이터의 전송 속도가 빠르고 안정적인 TCP/IP 프로토콜을 사용함에 따라 더욱 빠르게 발전하게 됩니다.
이러한 소규모 네트워크들이 더욱 발전하고 서로 접속함에 따라 현재는 전 세계적인 거대한 컴퓨터 네트워크의 집합체로 현대인에게 없어서는 안 될 역할을 하고 있습니다.
인터넷은 어떻게 동작하는 것일까?
단순 네트워크
두 개이상의 컴퓨터가 통신이 필요할 때, 우리는 다른 컴퓨터와 물리적(이더넷 케이블) 또는 무선(와이파이,블루투스 등) 으로 연결 되어야한다.

이러한 연결은 두 대의 컴퓨터로 제한되지 않으며 원하는 만큼의 컴퓨터를 연결할 수 있다.
하지만 그렇게 연결할 수록 매우 복잡해진다. 예를 들어 10대의 컴퓨터를 연결하기 위해서는 컴퓨터당 9개의 플러그가 달린 45개의 케이블이 필요하다.

이렇게 되면 너무 복잡해진다.
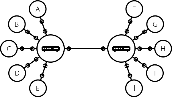
그래서 네트워크에 각 컴퓨터는 '라우터' 라고 하는 소형 컴퓨터에 연결하는 것으로 해결 할 수 있다.
라우터는 주어진 컴퓨터에서 보낸 메시지가 올바른 대상 컴퓨터에게 도착하는 지 확인한다.
이 라우터를 시스템에 추가하면 밑에 그림처럼 나온다.

10대의 컴퓨터 네트워크에는 10개의 케이블만 있으면 된다.
각 컴퓨터마다 단일 플러그와 10개의 플러그가 있는 하나의 라우터가 필요하다.
네트워크 속의 네트워크
지금까지는 아주 소량의 컴퓨터들과 연결하는 것 이므로 다닐 라우터로 충분히 사용가능하지만
컴퓨터의 수가 수백, 수천, 수십억 대의 컴퓨터를 연결하려 한다면
당연히 문제가 생길 수 밖에 없다.
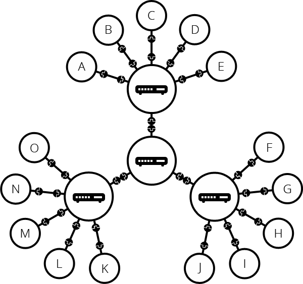
위에 설명중 라우터는 소형 컴퓨터라고 언급을 하였다. 그러면 라우터끼리 연결한다면 어떻게 될까?

위 그림처럼 라우터 끼리 연결을 하면 무한히 확장이 가능하게 된다.

하지만 이것은 인터넷이 아니다.
왜 인터넷이 아닐까?
인터넷은 위에 설명한 것 처럼 모든 컴퓨터들이 연결 되어 있는 거대한 통신망이다.
그러므로 이것은 그냥 근거리 통신에 가깝다고 볼 수 있다.
그러면 인터넷이 되려면 어떻게 해야 할까?
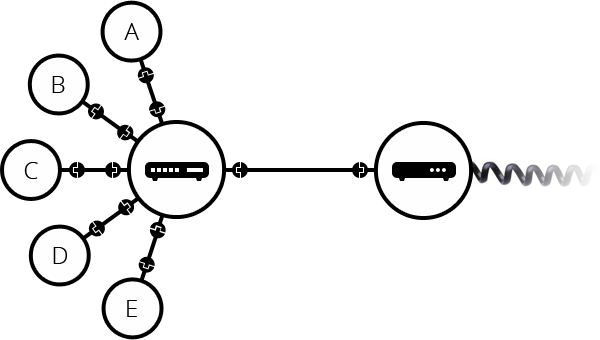
전세계에 연결되어있는 전력 및 전화케이블을 활용하면 된다.
네트워크를 전화시설과 연결하기 위해서는 모뎀이라는 특수한 장비가 필요하다.
이 모뎀은 우리 네트워크의 정보를 전화 시설에서 처리 할 수 있는 정보로 바꾸며 반대도 마찬가지다.

네트워크가 전화시설에 연결되고 그 다음 단계는 우리의 네트워크에서 도달하려는 네트워크로 메시지를 보내는 것이다.
그러기 위해 네트워크를 인터넷 서비스 제공 업체(Internet Service Provider, ISP)에 연결한다.
ISP는 모두 함께 연결되는 몇몇 특수한 라우터를 관리하고 다른 ISP의 라우터에도 엑세스 할 수 있는 회사이다.
따라서 우리 네트워크의 메시지는 ISP네트워크를 통해 대상 네트워크로 전달된다.

그러면 이제 연결까지 다 했다.
컴퓨터 찾기
이제 각각의 컴퓨터에 메시지를 보낼 준비까지는 되었는데 어떻게 메시지를 보내야 할까?
여기서 IP주소(Internet Protocol Address)라는 개념이 나오게 된다.
인터넷 프로토콜 주소라는 것은 알겠는데
이 프로토콜은 무엇일까?
프로토콜
복수의 컴퓨터 사이나 중앙 컴퓨터와 단말기 사이에서 데이터 통신을 원활하게 하기 위해 필요한 통신 규약. 신호 송신의 순서, 데이터의 표현법, 오류(誤謬) 검출법 등을 정함. 통신 규약(通信規約).
그냥 사람들끼리 헷갈리지 않게 만들어 놓은 규칙 같은 것이다.
컴퓨터는 IP주소를 기억하고 하지만 우리는 금방 까먹고 기억하기 힘들다.
그래서 우리는 도메인 이라는 것을 통해 IP주소를 대신할 수 있게 되었다.
우리가 알고 있는 naver.com / tistory.com / google.com 이런 웹사이트들도 각각의 IP주소가 있지만
사람들이 기억하기 쉽게 설정 해 두었다.
인터넷과 웹
웹 브라우저를 사용하여 웹을 탐색 할 때 일반적으로 도메인 이름을 사용하여 웹사이트에 접속한다.
그러면 인터넷과 웹은 같은 것일까?
결론부터 말하자면 같은 것이 아니다.
비유하자면 인터넷은 인프라고 웹은 그 위에 있는 서비스다.
인터넷은 전 세계적으로 연결된 네트워크 시스템으로 컴퓨터와 컴퓨터를 연결할 수 있도록 한다.
이런 연결을 통해 웹 페이지가 제공된다.
출처 :